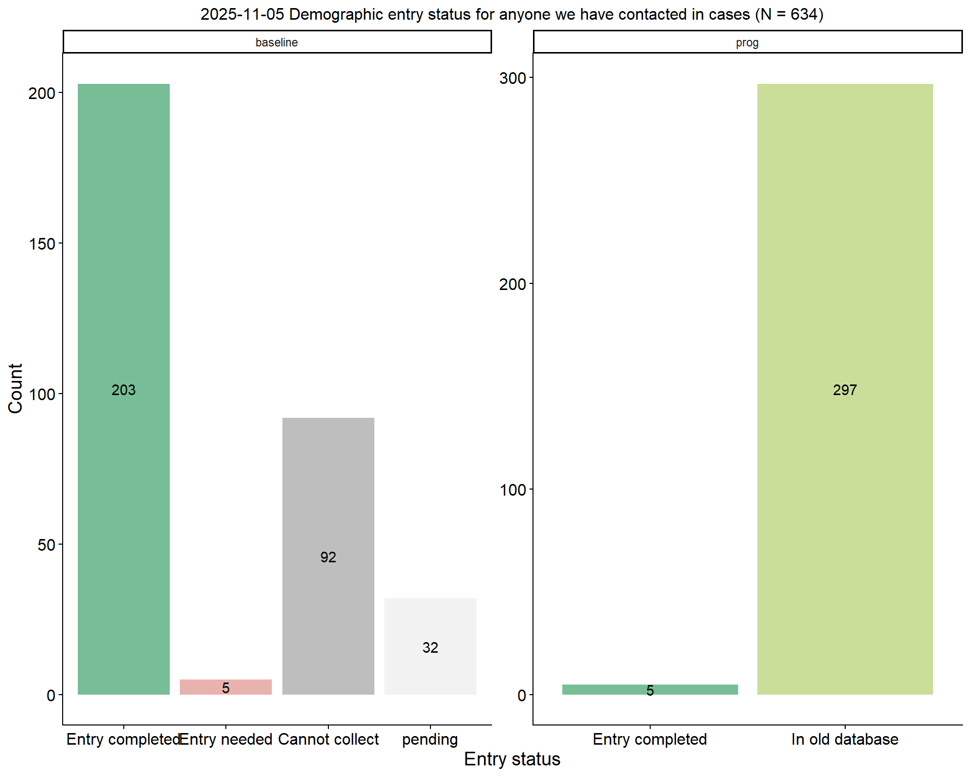
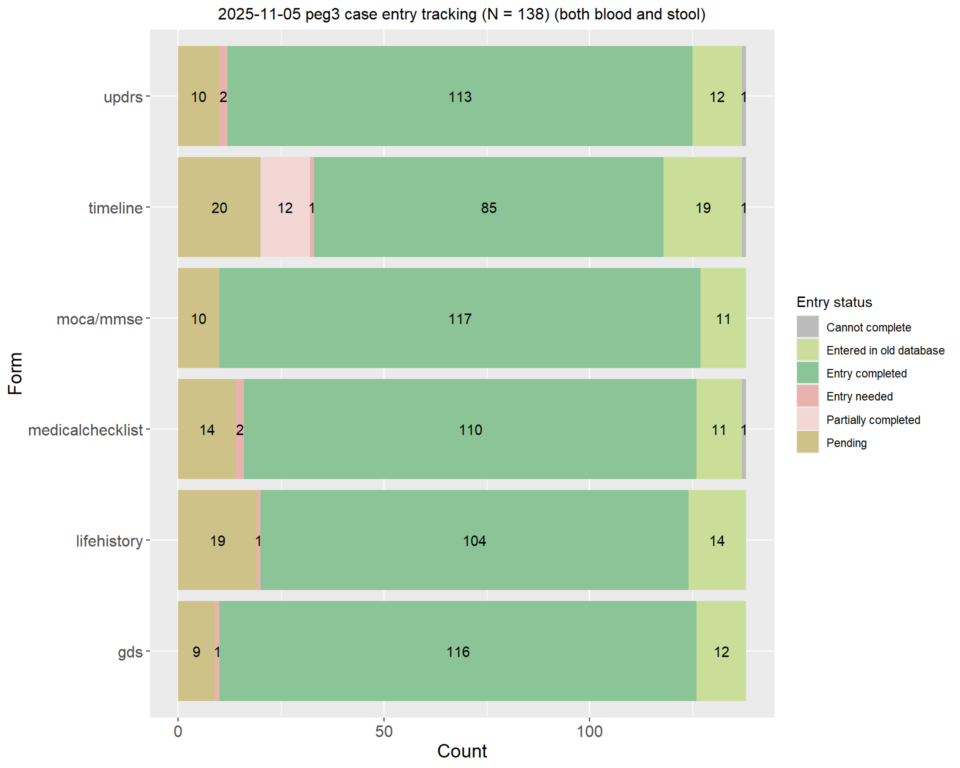
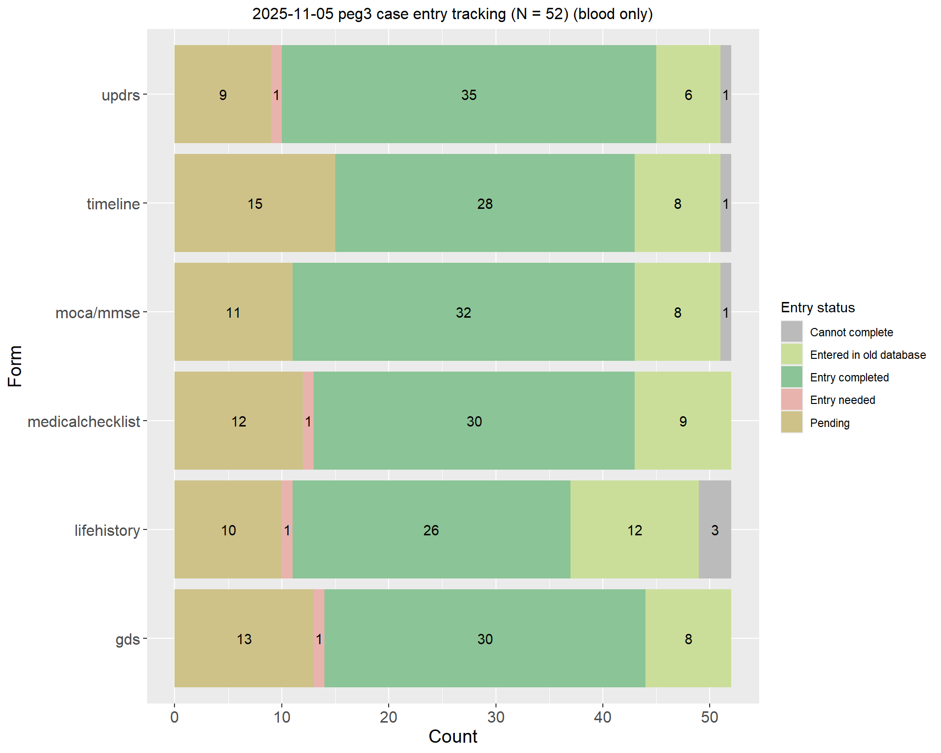
$case

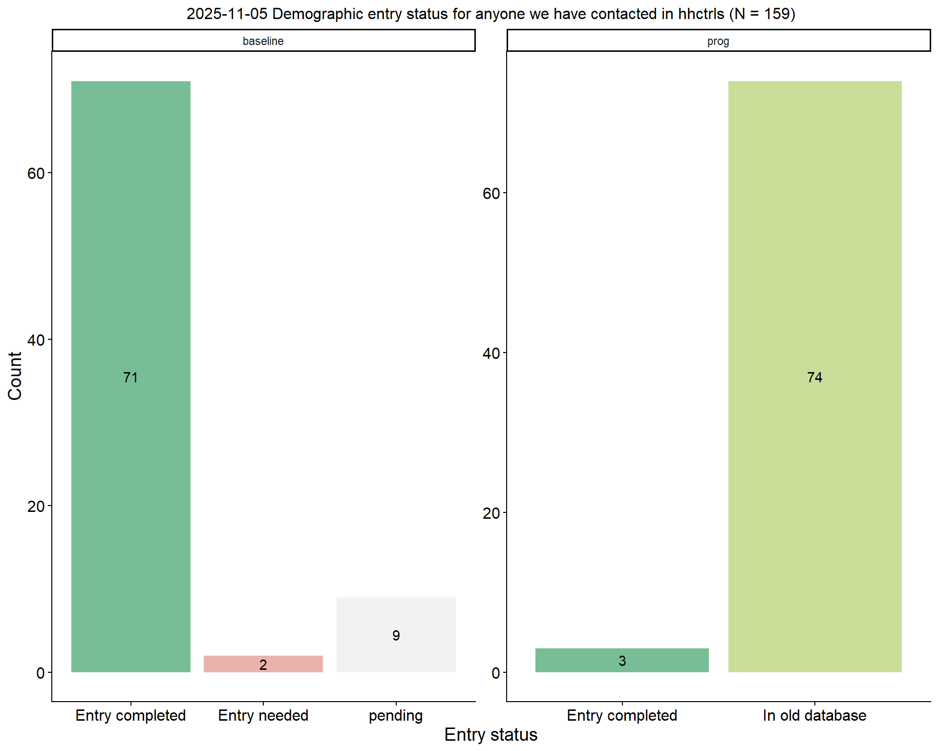
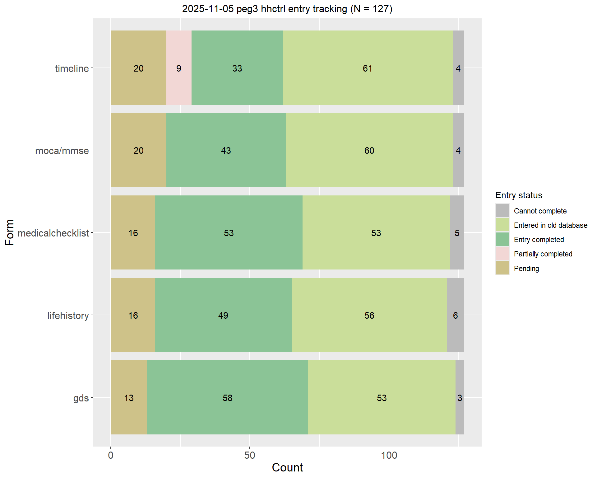
$hhctrl

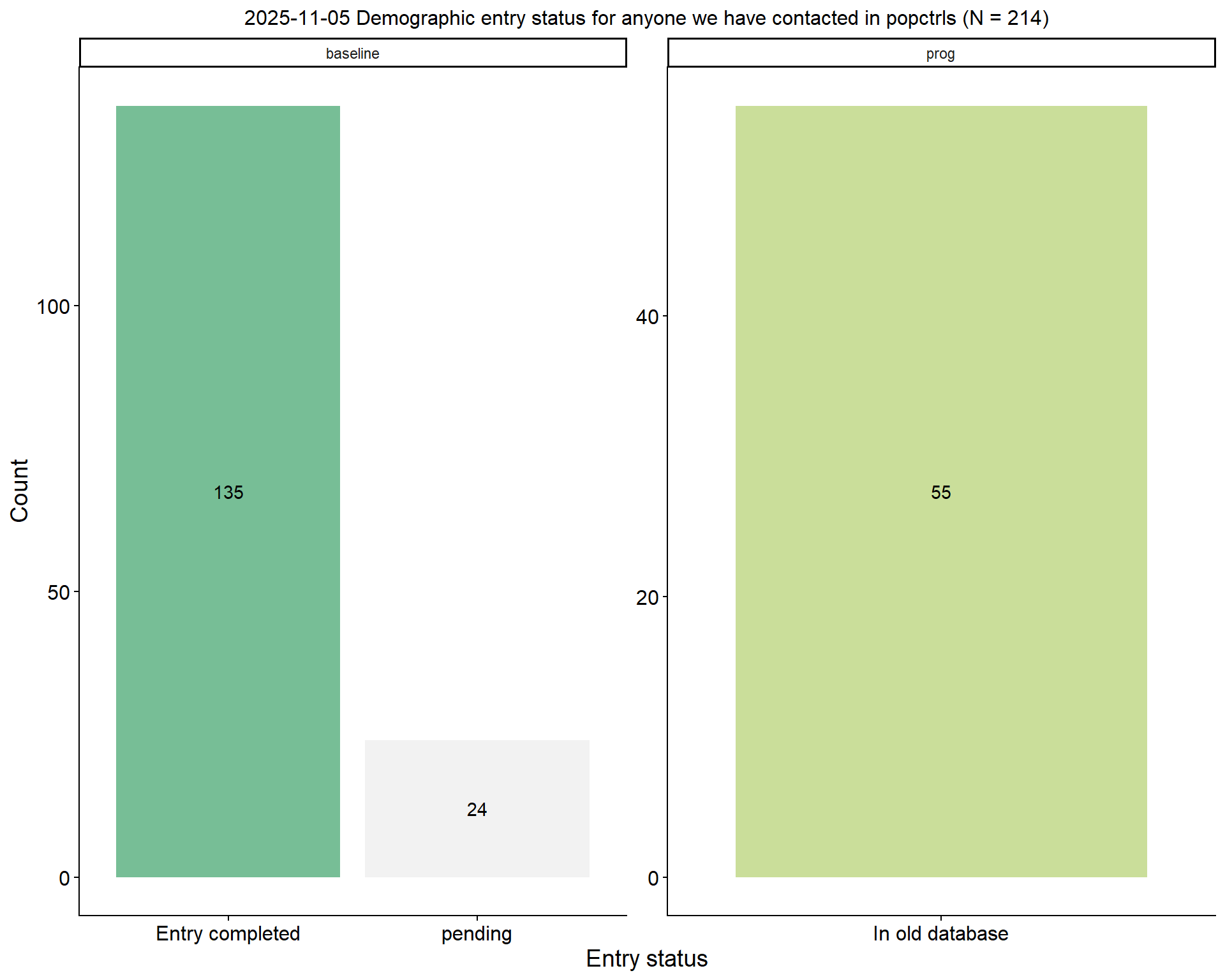
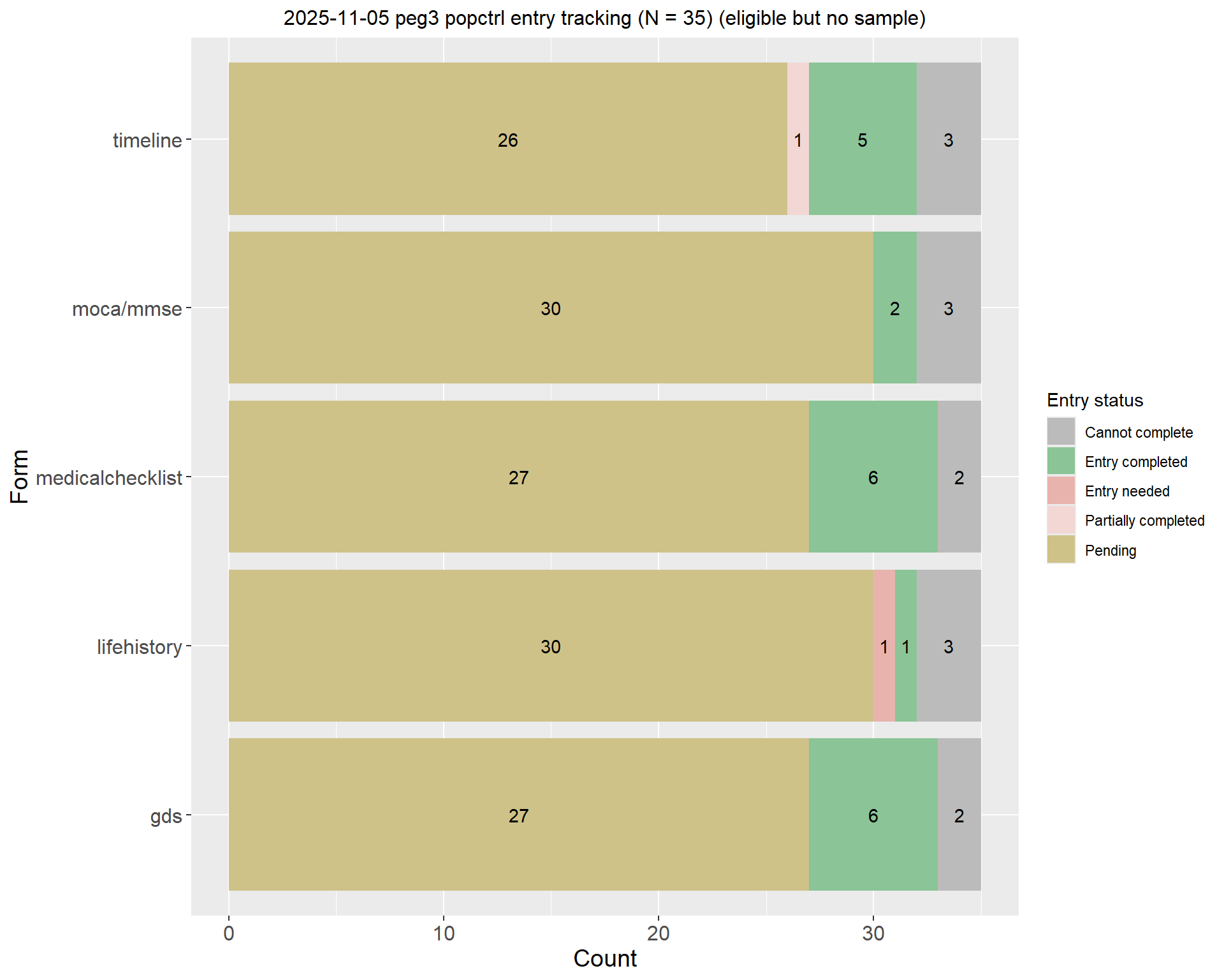
$popctrl



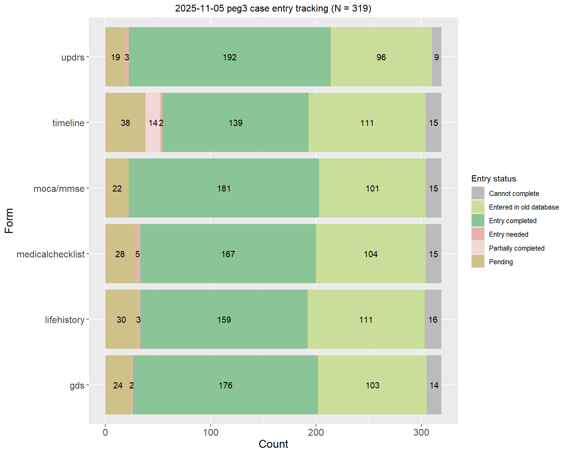
This document aims to track the data entry process for PEG3 study. Currently, I focus on the data entry tracking for the following forms [i.e., GDS, MoCA, and UPDRS(if case), Medical checklist, timeline, and life history questionnaire] among participants who 1) have screeningstatus; or 2) have blood sample; 3) have stool sample; 4) have phys_apptdate_status (for cases).
Notes:
The following code is assuming that you are using Windows OS on a HIPAA compliant device.
.accdb connection, and please make sure the .accdb file doesn’t have a password if you are using Mac OS.pyodbc package if you prefer using Python.$case

$hhctrl

$popctrl



Definition:
completedDeceased, Too ill, Do not contact, Ineligible, Withdrew / can use information or peg3status1 is not nullscreeningstatus contains Deceased, Institutionalized, or Too ill$Cases

$`Household Controls`

$`Population Controls`

$Cases

$`Household Controls`

$`Population Controls`

$Cases

$`Household Controls`

$`Population Controls`

$Cases

$`Household Controls`

$`Population Controls`

$Cases

$`Household Controls`

$`Population Controls`

$Cases

$`Household Controls`

$`Population Controls`

$Cases

$`Household Controls`

$`Population Controls`
